Fasteners 101 — Reference Tables
Quick, printable reference for conversions, thread pitch, drill sizes, tensile strength, hardness, and sizing. Use these guides to identify and size fasteners; always confirm against your project specifications or an engineer before final selection.
Reference Index
General
Type-Specific Charts
Tools & Specs
Quick Charts & Printable Tools
Tip: Set your PDF viewer to “Actual size” before printing to maintain scale.
US Nut Size Charts
Metric Nut Size Charts
USS & SAE Washer Size Charts
Metric Washer Size Charts
Hex Head Sleeve Anchor Information
| Diameter | Hole Size | Minimum Embedment | Bolt Diameter |
|---|---|---|---|
| 1/4" x 5/8" only | 1/4" | 1/2" | 3/16" |
| 1/4" | 1/4" | 1" | 3/16" |
| 5/16" | 5/16" | 1" | 1/4" |
| 3/8" | 3/8" | 1-1/4" | 5/16" |
| 1/2" | 1/2" | 1-1/2" | 3/8" |
| 5/8" x 3" or less | 5/8" | 2" | 1/2" |
| 5/8" x 4-1/4" or more | 5/8" | 3-1/2" | 1/2" |
| 3/4" x 2-1/2" only | 3/4" | 2" | 5/8" |
| 3/4" | 3/4" | 3-1/2" | 5/8" |
Allen Key Specifications (ASME B18.3-2012)
DIAMETER & THREAD PITCH CONVERSIONS
| INCH | METRIC | CONVERSION (Diameter) | |||
|---|---|---|---|---|---|
| COARSE (UNC) | FINE (UNF) | COARSE (UNC) | FINE (UNF) | INCH | METRIC |
| 1/4"-20 | 1/4"-28 | M6-1.00 | M6-0.75 | 1/4" | M6 |
| 5/16"-18 | 5/16"-24 | M8-1.25 | M8-1.00 | 5/16" | M8 |
| 3/8"-16 | 3/8"-24 | M10-1.50 | M10-1.25 | 3/8" | M10 |
| 7/16"-14 | 7/16"-20 | M12-1.75 | M12-1.50 | 1/2" | M12 |
| 1/2"-13 | 1/2"-20 | M14-2.00 | M14-1.50 | 5/8" | M16 |
| 9/16"-12 | 9/16"-18 | M16-2.00 | M16-1.50 | 3/4" | M20 |
| 5/8"-11 | 5/8"-18 | M20-2.50 | M20-1.50 | 7/8" | M22 |
| 3/4"-10 | 3/4"-10 | M22-2.50 | M22-1.50 | 1" | M24 |
| 7/8"-9 | 7/8"-14 | M24-3.00 | M24-2.00 | 1-1/8" | M27 |
| 1"-8 | 1"-14 | M27-3.00 | M27-2.00 | 1-1/4" | M30 |
| 1-1/8"-7 | 1-1/8"-12 | M30-3.50 | M30-2.00 | 1-3/8" | M33 |
| 1-1/4"-7 | 1-1/4"-12 | M36-4.00 | M36-2.00 | 1-1/2" | M36 |
| 1-3/8"-6 | 1-3/8"-12 | M42-4.50 | M42-2.00 | 1-3/4" | M42 |
| 1-1/2"-6 | 1-1/2"-12 | M48-5.00 | M48-2.00 | 2" | M48 |
Tensile Strength Comparison — Imperial Grades vs Metric Classes
| Imperial Grades IBF/IN2 (PSI) |
Metric Classes MPA (N/MM2) |
|---|---|
| L9 -- 180,000 PSI -- HIGH TENSILE | CLASS 12.9 -- 1,200 MPA -- HIGH TENSILE |
| SAE GRADE 8 -- 150,000 PSI -- HIGH TENSILE | CLASS 10.9 -- 1,034 MPA-- HIGH TENSILE |
| SAE GRADE 5 -- 120,000 PSI -- HIGH TENSILE | CLASS 8.8 -- 827 MPA-- HIGH TENSILE |
| STAINLESS CLASS 80 (304--316) -- 116,000 PSI | STAINLESS CLASS 80 (304-316) -- 800 MPA |
| STAINLESS CLASS 70 (304-316) 101,000 PSI | STAINLESS CLASS 70 (304-316) -- 700 MPA |
| STAINLESS CLASS 50 (NO MARKINGS) -- 72,000 PSI | STAINLESS CLASS 50 (NO MARKINGS) -- 500 MPA |
| LOW CARBON -- 62,000 PSI | 427 MPA |
| 58,015 PSI | CLASS 4.6 - 400 MPA |
Hardness Reference (S/C Case & Core)
| Screw Type | S Surface & C Case Hardness | Core Hardness (After Temper) | Material |
|---|---|---|---|
| Tapping Type A/AB/B | (S)Rockwell C45 min | Rockwell C28-38 | AISI 1016-1024 or Equivalent Steel |
| Self Tapping Hi-Lo | (C)Rockwell C45 min | Rockwell C28-36 | AISI 1019-1022 or Equivalent Steel |
| Thread Cutting Type 25/23/F | (S)Rockwell C45 min | Rockwell C28-38 | AISI 1016-1024 or Equivalent Steel |
| Type F Torx Floorboard Screws | (S)Rockwell C45 min | Rockwell C28-38 | AISI 1016-1024 or Equivalent Steel |
| Tri-Lobular Thread Rolling | (C)Rockwell C45 min | Rockwell C28-38 | AISI 1016-1024 or Equivalent Steel |
| Self Piercing Screws | (S)Rockwell C45 min | Rockwell C28-38 | AISI 1018-1022 or Equivalent Steel |
| Self Drilling Screws | (C)Rockwell C52-58 | Rockwell C32-40 | AISI 1016-1024 or Equivalent Steel |
Screw Size Conversion (Number ↔ Fraction ↔ Decimal)
| Screw Size | Fraction | Decimal |
|---|---|---|
| #1 | 1/16 | 0.0625 |
| #2 | 5/64 | 0.0781 |
| #3 | 3/32 | 0.0937 |
| #4 | 7/64 | 0.1093 |
| #5 | 1/8 | 0.125 |
| #6 | 9/64 | 0.1406 |
| #8 | 5/32 | 0.1562 |
| #9 | 11/64 | 0.1718 |
| #10 | 3/16 | 0.1875 |
| #11 | 13/64 | 0.1718 |
| #12 | 7/32 | 0.2187 |
| #13 | 15/64 | 0.2343 |
| #14 | 1/4 | 0.25 |
| #16 | 17/64 | 0.2656 |
| #18 | 17/64 | 0.2968 |
| #20 | 5/16 | 0.3125 |
| #24 | 3/8 | 0.375 |
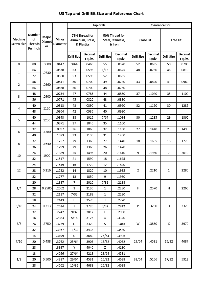
US Tap & Drill Bit Size and Reference Chart
| Machine Screw Size | Number of Threads Per Inch | Major Diameter | Minor Diameter | Tap drills | Clearance Drill | ||||||
|---|---|---|---|---|---|---|---|---|---|---|---|
| 75% Thread for Aluminum, Brass, & Plastics |
50% Thread for Steel, Stainless, & Iron |
Close Fit | Free Fit | ||||||||
| Drill Size | Decimal Equiv. | Drill Size | Decimal Equiv. | Drill Size | Decimal Equiv. | Drill Size | Decimal Equiv. | ||||
| 0 | 80 | .0600 | .0447 | 3/64 | .0469 | 55 | .0520 | 52 | .0635 | 50 | .0700 |
| 1 | 64 | .0730 | .0538 | 53 | .0595 | 1/16 | .0625 | 48 | .0760 | 46 | .0810 |
| 72 | .0560 | 53 | .0595 | 52 | .0635 | ||||||
| 2 | 56 | .0860 | .0641 | 50 | .0700 | 49 | .0730 | 43 | .0890 | 41 | .0960 |
| 64 | .0668 | 50 | .0700 | 48 | .0760 | ||||||
| 3 | 48 | .0900 | .0734 | 47 | .0785 | 44 | .0860 | 37 | .1040 | 35 | .1100 |
| 56 | .0771 | 45 | .0820 | 43 | .0890 | ||||||
| 4 | 40 | 1120 | .0813 | 43 | .0890 | 41 | .0960 | 32 | .1160 | 30 | .1285 |
| 48 | .0864 | 42 | .0935 | 40 | .0980 | ||||||
| 5 | 40 | 1250 | .0943 | 38 | .1015 | 7/64 | .1094 | 30 | .1285 | 29 | .1360 |
| 44 | .0971 | 37 | .1040 | 35 | .1100 | ||||||
| 6 | 32 | .1380 | .0997 | 36 | .1065 | 32 | .1160 | 27 | .1440 | 25 | .1495 |
| 40 | .1073 | 33 | .1130 | 31 | .1200 | ||||||
| 8 | 32 | .1640 | .1257 | 29 | .1360 | 27 | .1440 | 18 | .1695 | 16 | .1770 |
| 36 | .1299 | 29 | .1360 | 26 | .1470 | ||||||
| 10 | 24 | 1900 | .1389 | 25 | .1495 | 20 | .1610 | 9 | .1960 | 7 | .2010 |
| 32 | .1517 | 21 | .1590 | 18 | .1695 | ||||||
Thread Identification — US & Metric
Thread Identification — Quick Lookup
Prefer a printable? See the Thread Identification Chart (PDF).
| Acronyms: | |
|---|---|
|
|
| Basic Major Diameter | US Standard | Metric | |||||||||
|---|---|---|---|---|---|---|---|---|---|---|---|
| Inch | mm | Nominal Diameter mm |
UNC (TPI) |
UNF (TPI) |
UNEF (TPI) |
UNM (TPI) |
Nominal Diameter mm |
Standards | Pitch — Coarse (mm) |
Pitch — Fine (mm) |
Pitch — M Taper (mm) |
| .0118 | 0.30 | 0.30 | 318 | X | 0.075 | ||||||
| .0138 | 0.35 | 0.35 | 282 | * | 0.080 | ||||||
| .0146 | 0.37 | 254 | |||||||||
| .0157 | 0.40 | 0.40 | *X | 0.100 | |||||||
| .0165 | 0.42 | ||||||||||
| .0177 | 0.45 | 0.45 | 254 | ** | 0.100 | ||||||
| .0189 | 0.48 | ||||||||||
| .0197 | 0.50 | 0.50 | 203 | *X | 0.125 | ||||||
| .0209 | 0.53 | 160 | |||||||||
| .0213 | 0.54 | ||||||||||
| .0217 | 0.55 | 0.55 | 203 | ** | 0.125 | ||||||
| .0236 | 0.60 | 0.60 | 169 | *X | 0.150 | ||||||
| .0244 | 0.62 | ||||||||||
| .0276 | 0.70 | 0.70 | 145 | 0.175 | |||||||
| .0311 | 0.79 | ||||||||||
| .0315 | 0.80 | 0.80 | 127 | *X | 0.200 | ||||||
| .0340 | 0.86 | 120 | |||||||||
| .0354 | 0.90 | 0.90 | 113 | **X | 0.225 | ||||||
| .0394 | 1.00 | 1.00 | 102 | *X | 0.250 | 0.2 | |||||
| .0433 | 1.10 | 1.10 | 102 | ** | 0.250 | 0.2 | |||||
| .0470 | 1.19 | 90 | 96 | ||||||||
| .0472 | 1.20 | 1.20 | *X | 0.250 | 0.2 | ||||||
| .0512 | 1.30 | ||||||||||
| .0551 | 1.40 | 1.40 | 85 | **X | 0.300 | 0.2 | |||||
| .0591 | 1.50 | 1.50 | 0.300 | ||||||||
| .0600 | 1.52 | 80 | |||||||||
| .0629 | 1.60 | 1.60 | * | 0.350 | 0.2 | ||||||
| .0669 | 1.70 | 1.70 | X | 0.350 | 0.2,0.25 | ||||||
| .0709 | 1.80 | 1.80 | ** | 0.350 | 0.2 | ||||||
| .0730 | 1.85 | #1 | 64 | 72 | |||||||
| .0748 | 1.90 | ||||||||||
| .0787 | 2.00 | 2.00 | *X | 0.400 | 0.25,0.35 | ||||||
| .0860 | 2.18 | #2 | 56 | 64 | |||||||
| .0866 | 2.20 | 2.20 | ** | 0.450 | 0.25 | ||||||
| .0906 | 2.30 | 2.30 | X | 0.400 | 0.25,0.35 | ||||||
| .0984 | 2.50 | 2.50 | * | 0.45 | 0.35 | ||||||
| .0990 | 2.51 | #3 | 48 | 56 | |||||||
| .1024 | 2.60 | 2.60 | X | 0.45 | 0.25,0.35 | ||||||
| .1102 | 2.80 | ||||||||||
| .1120 | 2.84 | #4 | 40 | 48 | |||||||
| .1181 | 3.00 | 3.00 | *X | 0.50 | 0.35 | ||||||
| .1250 | 3.18 | #5 | 40 | 44 | |||||||
| .1260 | 3.20 | ||||||||||
| .1380 | 3.50 | #6 | 32 | 40 | 3.50 | **X | 0.60 | 0.35,0.5 | |||
| .1417 | 3.60 | ||||||||||
| .1575 | 4.00 | 4.00 | *X | 0.70 | 0.5,0.75 | ||||||
| .1614 | 4.10 | ||||||||||
| .1640 | 4.17 | #8 | 32 | 36 | |||||||
| .1772 | 4.50 | 4.50 | ** | 0.75 | 0.5 | ||||||
| .1850 | 4.70 | ||||||||||
| .1875 | 4.76 | ||||||||||
| .1900 | 4.83 | #10 | 24 | 32 | |||||||
| .1969 | 5.00 | 5.00 | *X | 0.80 | 0.5, 0.75, 0.90 | ||||||
| .2087 | 5.30 | ||||||||||
| .2160 | 5.49 | #12 | 24 | 28 | 32 | ||||||
| .2165 | 5.50 | 5.50 | *** | 0.90 | 0.5 | ||||||
| .2188 | 5.56 | ||||||||||
| .2362 | 6.00 | 6.00 | *X | 1.00 | 0.5, 0.75 | ||||||
| .2500 | 6.35 | 1/4 | 20 | 28 | 32 | ||||||
| .2756 | 7.00 | 7.00 | ***X | 1.00 | 0.5, 0.75 | ||||||
| .2812 | 7.14 | ||||||||||
| .3125 | 7.94 | 5/16 | 18 | 24 | 32 | ||||||
| .3125 | 7.94 | 1/16 | 27 | ||||||||
| .3150 | 8.00 | 8.00 | *X | 1.25 | 0.5, 0.75, 1 | ||||||
| .3543 | 9.00 | 9.00 | ***X | 1.25 | 0.75, 1 | ||||||
| .3750 | 9.53 | 3/8 | 16 | 24 | 32 | 1 | |||||
| .3830 | 9.73 | ||||||||||
| .3937 | 10.00 | 10.00 | *X | 1.5 | 0.75, 1, 1.25 | ||||||
| .4050 | 10.29 | 1/8 | 27 | ||||||||
| .4331 | 11.00 | 11.00 | ***X | 1.5 | 0.75, 1, 1.25 | ||||||
| .4375 | 11.11 | 7/16 | 14 | 20 | 28 | ||||||
| .4724 | 12.00 | 12.00 | *X | 1.75 | 1, 1.25, 1.5 | 1.5 | |||||
| .5000 | 12.70 | 1/2 | 13 | 20 | 28 | ||||||
| .5180 | 13.16 | ||||||||||
| .5400 | 13.72 | 1/4 | 18 | ||||||||
| .5512 | 14.00 | 14.00 | **X | 2.00 | 1, 1.25, 1.5 | ||||||
| .5625 | 14.29 | 9/16 | 12 | 18 | 24 | ||||||
| .6250 | |||||||||||
| .6299 | 16.00 | 16.00 | *X | 2.00 | 1, 1.5 | 1.5 | |||||
| .6560 | 16.66 | ||||||||||
| .6750 | 17.15 | 3/8 | 18 | ||||||||
| .6875 | 17.46 | 11/16 | 24 | ||||||||
| .7087 | 18.00 | 18.00 | **X | 2.5 | 1, 1.5, 2 | 1.5 | |||||
| .7500 | 19.05 | 3/4 | 10 | 16 | 20 | ||||||
| .7874 | 20.00 | 20 | *X | 2.5 | 1, 1.5, 2 | 1.5 | |||||
| .8125 | 20.64 | 13/16 | 20 | ||||||||
| .8250 | 20.96 | ||||||||||
| .8400 | 21.34 | 1/2 | 14 | ||||||||
| .8661 | 22.00 | 22 | **X | 2.5 | 1, 1.5, 2 | 1.5 | |||||
| .8750 | 22.23 | 7/8 | 9 | 14 | 20 | ||||||
| .9020 | 22.91 | ||||||||||
| .9375 | 23.81 | 15/16 | 20 | ||||||||
| .9449 | 24.00 | 24 | *X | 3 | 1, 1.5, 2 | ||||||
| 1.0000 | 25.40 | 1 | 8 | 14 | 20 | ||||||
| 1.0236 | 26.00 | 26 | ***X | 1.5 | 1.5 | ||||||
| 1.0410 | 26.44 | ||||||||||
| 1.0500 | 26.67 | 3/4 | 14 | ||||||||
| 1.0625 | 26.99 | 1-1/16 | 18 | ||||||||
| 1.0630 | 27.00 | 27 | **X | 3 | 1, 1.5, 2 | ||||||
| 1.1250 | 28.58 | 1-1/8 | 7 | 12 | 18 | ||||||
| 1.1811 | 30.00 | 30 | *X | 3.5 | 1, 1.5, 2, 3 | ||||||
| 1.1875 | 30.16 | 1-3/16 | 18 | ||||||||
| 1.1890 | 30.20 | ||||||||||
| 1.2500 | 31.75 | 1-1/4 | 7 | 12 | 18 | ||||||
| 1.2598 | 32.00 | 32 | ***X | 1.5, 2 | |||||||
| 1.2992 | 33.00 | 33 | **X | 3.5 | 1.5, 2, 3 | ||||||
| 1.3090 | 33.25 | ||||||||||
| 1.3125 | 33.34 | 1-5/16 | 18 | ||||||||
| 1.3150 | 33.40 | 1 | 11-1/2 | ||||||||
| 1.3750 | 34.93 | 1-3/8 | 6 | 12 | 18 | ||||||
| 1.3780 | 35.00 | 35 | ***X | 1.5 | |||||||
| 1.4173 | 36.00 | 36 | *X | 4 | 1.5, 2, 3 | ||||||
| 1.4375 | 36.51 | 1-7/16 | 18 | ||||||||
| 1.4920 | 37.90 | 1.5 | |||||||||
| 1.4961 | 38.00 | 38 | ***X | ||||||||
| 1.5000 | 38.10 | 1-1/2 | 6 | 12 | 18 | ||||||
| 1.5354 | 39.00 | 39 | **X | 4 | 1.5, 2, 3 | ||||||
| 1.5625 | 39.69 | 1-9/16 | 18 | ||||||||
| 1.5748 | 40.00 | 40 | ***X | 1.5, 2, 3 | |||||||
| 1.6250 | 41.28 | 1-5/8 | 18 | ||||||||
| 1.6500 | 41.91 | ||||||||||
| 1.6535 | 42.00 | 42 | *X | 4.5 | 1.5, 2, 3, 4 | ||||||
| 1.6600 | 42.16 | 1-1/4 | 11-1/2 | ||||||||
| 1.6875 | 42.86 | 1 11/16 | 18 | ||||||||
| 1.7450 | 44.32 | ||||||||||
These guides are provided as a general reference. Always verify sizes, properties, and tolerances for your specific application.